行業資訊
道路平面設計的11個步驟,你都了解嗎?
一、道路設計的基本步驟
1、道路是三維空間的實體,路線是道路中線的空間位置
路線平面:路線在水平方向的投影
路線的縱斷面:沿道路中線豎直剖切再行展開
中線上任意一點法向切面是道路在該點的橫斷面
2、道路設計過程中,先確定平面的線形,再進行縱斷面和橫斷面設計
平面線形由直線、圓曲線、緩和曲線三個要素組成
3、線性設計
公路平面線形設計
直線—緩和曲線—圓曲線—緩和曲線—直線
城市道路平面線形設計
直線—圓曲線—直線
4、道路平面線形要素
行駛中汽車的導向輪與車身縱軸之間的關系→汽車行駛軌跡
角度為零→曲率為零→直線
角度為常數→曲率為常數→圓曲線
角度為變數→曲率為變數→緩和曲線
現代道路平面線形正是由上述三種基本線形構成的,稱為平面線形三要素。
二、直線
1、優點
線形直捷,布設方便,行車視距良好,行車平穩
2、缺點
不能適應地形變化,不便于避讓障礙,直線過長容易使駕駛員產生麻痹而放松警惕,發生行車事故,夜間行車時,對向行車燈光眩目不利安全

(一)直線運用
1、直線的最大長度
在城鎮及附近或其它景色有變化的地點,大于20V是可以接受的,在景色單調的地點最好控在在20V以內
2、直線的最小長度
當V≥60km/h時,同向曲線的直線最小長度為6V,反向曲線的最小長度不小于2V
3、注意的問題
長直線或長下坡盡頭的平曲線 ,必須采取設置標志、增加路面抗滑能力等安全措施
長直線上坡不宜過長 ,直線上的縱坡一般應小于3%
長直線應與大半徑凹曲線配合為宜

(二)采用長直線線形應注意的問題
1、長直線宜與大半徑凹豎曲線組合使用

2、避免“斷背曲線”

三、圓曲線
1、優點
布設方便,能很好地適應地形,避讓障礙,與地形配合得當可獲得圓滑、舒順、美觀的路線,又能降低工程造價
使行車景觀不斷變化,使駕駛員保持適度的警惕,增加行車安全性,也可起到誘導行車視線的作用
2、注意的問題
半徑不可過小而影響行車安全


(一)圓曲線的平面布設
1、圓曲線上技術代號
JD—交點(轉角點)
ZY—直圓(圓曲線起點)
QZ—曲中(圓曲線中點)
YZ—圓直(圓曲線終點)

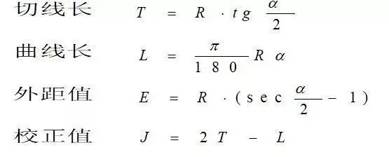
(二)圓曲線的幾何要素及主點樁號里程計算
1、幾何要素

2、曲線主點樁號里程計算

3、曲線主點樁計算校核

(三)圓曲線半徑
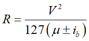
1、汽車在圓曲線路段行駛時會產生離心力F

2、曲線半徑指標

(四)橫向力系數μ的取值
1、意義
橫向力系數表示單位車重所受到的橫向力(離心力)
其值越大對行車越不利
2、取值大小的決定因素
行車安全:確保行車不產生橫向滑移
操作方便、行車經濟
行車平穩、舒適
3、取值
一般取

為控制值
(五)公路圓曲線最小半徑
1、三種平曲線最小半徑
一般最小半徑:通常情況下推薦采用的最小半徑值
極限最小半徑
能保證按設計速度行駛的車輛安全行駛的最小半徑
不設超高最小半徑
當路線的半徑大到一定值時,即使汽車在曲線的外側時,也能獲得足夠的安全性和很好的舒適性


四、緩和曲線

1、定義
在直線與圓曲線、圓曲線與圓曲線之間設置的曲率連續變化的曲線
2、特點
易于適應地形,能很好地與汽車行駛軌跡相適應,使線形連續、美觀,但緩和曲線計算、布設較繁瑣

(一)緩和曲線的性質
路線設計符合汽車轉彎時的行駛軌跡,插入緩和曲線,使整條曲線的曲率形成一個連續變化的過程。
汽車以等速轉彎時,行駛軌跡曲線上任意一點所對應的曲率半徑與行駛的距離(弧長)成反比,這一行駛軌跡特性正好與數學上回旋線方程性質相同。
回旋線作為緩和曲線


(二)帶緩和曲線的平曲線平面布設
緩和曲線中心角

曲線內移值

曲線切線增長值


(三)設有緩和曲線的平曲線主點樁技術代號
JD—交點(轉角點)
ZH—直緩(第一緩和曲線起點)
HY—緩圓(第一緩和曲線終點)
QZ—曲中(曲線中點)
YH—圓緩(第二緩和曲線起點)
HZ—緩直(第二緩和曲線終點)
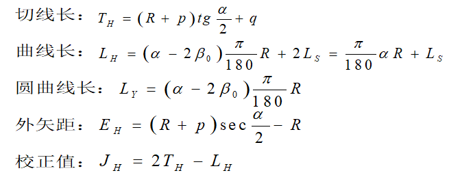
(四)平曲線幾何要素計算

(五)平曲線主點樁里程計算
曲線主點樁里程計算

曲線主點樁里程校核

五、曲線超高
1、定義
為抵消車輛在平曲線路段上行駛時所產生的離心力,而在該路段橫斷面上設置的外側高于內側的單向橫坡
2、作用
用車重產生的向內水平分力來抵消部分離心力,以利于行車安全與穩定
3、設置要求
當曲線半徑小于表2-20或表2-23中規定的不設超高最小半徑時,均應設置超高
(一)平面曲線實例
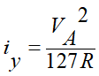
1、超高橫坡度計算

2、車速的調整
設計車速與實際車速之間的調整
3、超高值計算式

4、超高計算值取值要求
任意半徑超高橫坡度不得大于極限超高橫坡度

,又不得小于路拱橫坡度


(二)全超高橫坡度
公路最大超高橫坡度

城市道路最大超高橫坡度

(三)超高的過渡
平曲線路段超高緩和段的布置

當圓曲線上超高值和緩和段長度一定后,超高緩和應在全長上布設
在設計中應根據超高變化情況,計算出任意斷面上路肩兩側邊緣及路中點對原設計標高(未加寬前路肩邊緣標高)的相對高差,為施工放樣提供依據
(四)公路超高設置方式
無中間帶的公路
1、超高橫坡等于路拱橫坡
外側車道繞路中線旋轉,直至超高橫坡
2、超高橫坡大于路拱橫坡
第一種:繞車道內側邊軸旋轉
第二種:繞中軸旋轉
第三種:繞車道外側邊軸旋轉

有中間帶的公路超高設置方式
1、繞中間帶的中心線旋轉

2、繞中央分隔帶邊緣旋轉

3、繞各自行車道中線旋轉

(五)城市道路超高布置方式
城市道路超高方式應根據地形狀況、車道數、超高橫坡值、橫斷面形式、便于排水、路容美觀等因素決定
單幅路及三幅路機動車道宜繞中軸旋轉;雙輻路及四幅路機動車道宜繞中央分隔帶邊緣旋轉,使兩側車行道各自成為獨立的超高橫斷面

六、曲線加寬
1、加寬值確定
汽車輪跡需要
汽車行駛擺動需要
2、加寬值計算

3、加寬值選用規定
當圓曲線半徑大于250m時,可不設加寬
曲線路段加寬宜布置在彎道內側
各級公路的路面加寬后,路基也應相應加寬

(一)公路規范對加寬類別選用
高速公路、一級公路、二級公路及設計速度為40km/h的三級公路應采用第三類加寬值。
對不經常通行集裝箱、半掛車的公路,可采用第二類加寬值。
四級公路和設計速度30km/h的三級公路可采用第一類加寬值。

(二)城市道路加寬值

(三)加寬緩和段
1、加寬緩和段的長度
加寬所需要的最小長度
在不設緩和曲線或超高緩和段時,加寬緩和段長度應按漸變率1:15且不小于20米的要求設置
設置緩和曲線或超高緩和段時,加寬緩和段長度采用與緩和曲線或超高緩和段長度相同的數值
不設緩和曲線,加寬緩和段長度取超高緩和段長度,漸變率不小于1:15,且長度不小于10米
2、加寬過度方式
按直線比列加寬

高次拋物線加寬


七、緩和段設置
1、緩和段
為了使行車能夠安全、平穩、順利地由直線向曲線、由大半徑曲線向小半徑曲線行駛所設置的過渡段
2、設置目的
為消除行車轉彎時曲率突變,使行車能從容、順適地進行曲率變化而設置的曲線緩和過渡段為緩和曲線
為使行車平穩、順適地進行橫坡變化而設置的超高變化過渡段為超高緩和曲線
為適應行車軌跡,順適地進行寬度變化而設置的加寬過渡段為加寬緩和段
3、類型
緩和曲線、超高緩和段、加寬緩和段
(一)緩和段長度
1、離心加速度變化的緩和長度

2、操縱時間要求緩和段長度

3、超高變化要求緩和段長度

一般根據三方面緩和段長度的計算結果,取其中最長的并按5倍數取整后作為緩和段長度


八、平曲線長度
1、平曲線最小長度計算
取一般駕駛員能從容操作方向的(左右轉動方向)時間為6S

2、相關規定


小偏角時的平曲線長度
當道路轉角小于7°時,為防止駕駛員在視覺上產生急彎錯覺,而導致操縱失誤,應設較長的平曲線
相關規定


九、平曲線形的連接
平面線形設計整體上盡可能順直,選擇曲線半徑盡可能大些,應與自然地形等高線相適應為宜。
在橋梁、隧道內部與進出口路段和平面交叉口前后路段 ,應采用直線為宜。
長直線盡頭不得設置小半徑曲線
直線長度L<500m時,最小半徑R=L
直線長度L≥500m時,最小半徑R=500
一般平面線型設置的轉角不宜小于 10°
十、平面視距
1、定義
為了行車安全,保證駕駛員能隨時看到前方一定距離的道路路段,發現道路上的障礙、迎面來車,及時采取制動或避讓措施,所必須的是最短路段距離
2、運用
在平面線形和縱斷面線形設計中,都應有足夠的行車視距
3、平面視距分類
停車視距、會車視距、超車視距
4、行車視距不足主要發生在下述幾種場合
(1)道路平面上的暗彎,即處于挖方路段的彎道和內側有障礙物的彎道,見圖a
(2)縱斷面上的凸型豎曲線,見圖b
(3)下穿式立體交叉的凹型豎曲線,見圖c

5、視距相關規定

6、公路視距的運用
高速公路和一級公路滿足停車視距的要求
二、三、四級公路,應滿足會車視距的要求,在工程特別困難或受其他限制地段,可采用停車視距,但必須采取分道行駛措施
對向行駛的雙車道公路,應根據需要并結合地形,在適當的距離內設置具有超車視距的路段
積雪冰凍地區的道路,停車視距應適當增長
以大型車為主的公路,應按貨車停車視距進行檢驗

7、彎道內側視距的保證
清除彎道內側一定范圍的障礙物
最大橫凈距的確定
解析法
幾何法
視距包絡圖

8、開挖視距臺
計算出凈橫距以后,按比例在各樁號的橫斷面圖上畫出視距臺,以供施工放樣。

十一、路線平面圖繪制步驟
1、確定比例。
公路工程一般山嶺地區采用1:2000,丘陵平原地區采用1:5000。
2、城市道路一般采用1:1000或1:500。
3、根據直線、曲線、轉角一覽表,按比例繪制道路中線圖。
4、在道路中線圖上標注出起點、里程表樁、百米樁、曲線主點樁、橋涵與人工構造物樁號位置。
5、按比例勾繪道路中線左右各100~200m范圍內的地形等高線,標注地物、地貌、建筑物與構造物位置和名稱。
6、對于城市道路平面圖,應在現狀地形圖上,繪出道路設計紅線、中線、行車道與人行道的分界線,并繪出分隔帶、綠化帶、交通島、沿街建筑及出入口位置與外形。
7、整理、修正(等高線、地物、建筑物、構筑物等)圖紙

文章內容來自網絡,如有侵權,請聯系刪除。
更多相關信息 還可關注中鐵城際公眾號矩陣 掃一掃下方二維碼即可關注





